牛奶、酸奶、奶酪、芝士......是我们生活中常见的奶制品,近年来在中国人的餐桌上也越来越常见。
奶制品是蛋白质、钙和维生素D的优质来源。在今年刚刚更新的《中国居民平衡膳食宝塔(2022)》中推荐,每天应吃各种各样的奶制品,摄入量相当于每天300ml以上的液态奶。
长期以来,人们一直在强调奶制品带来的好处。但一味地增加奶制品摄入,是否百利而无一害呢?
5月6日,一项涵盖超50万中国人、历时11年的前瞻性队列研究显示,更高的乳制品摄入量,与更高的肝癌、女性乳腺癌以及淋巴瘤风险有关。该研究由来自英国牛津大学、中国医学科学院、北京大学等的研究者联合发表于BMC Medicine上。
这项研究是中国首个,也是截至目前最大规模的,探究奶制品摄入与癌症关系的前瞻性队列研究。提示,乳制品摄入的增加并非对健康无害,或与总癌症及某些特定的癌症风险之间存在正相关。
本研究中的数据来源于中国嘉道理生物库(China Kadoorie Biobank,CKB)。CKB研究于2004-2008年间,从中国十个不同地区(五个城市,五个农村)招募了510,146名基线没有癌症的参与者。在平均10.8年的随访期间,总共记录到29,277个癌症病例。
在分析了包括乳制品在内的主要食物种类食用频率信息后,参与者被分为三组:
经常摄入乳制品组:每周至少一次,平均摄入量为80.8g/天,占总人数的20.4%;
偶尔摄入乳制品组:每月至少一次,平均摄入量为44.4g/天,占总人数的11.1%;
几乎不摄入乳制品组:从未或很少摄入乳制品,平均摄入量为24.0g/天,占总人数的68.5%。
对比组间的基础信息可以发现,女性、高学历、高收入者会更经常地摄入奶制品,这部分人往往报告自我身体不佳的情况更少。与不摄入乳制品组相比,经常摄入奶制品组在肉类、水果、蛋类、小麦制品等食物种类的摄入量也会更高。
此外,经常摄入乳制品组中,心血管疾病和糖尿病的发生率达5.5%和7.4%,高于不摄入组的4.1%和5.4%。
研究者还发现,较高的乳制品摄入与较小的身高损失、较少的体重增加和较低的BMI增加有关。
在所有参与者中,无论男女,经常摄入奶制品组有着更高的身高与更长的腿长。经常摄入奶制品的参与者与不摄入奶制品组相比,站立高度高出约0.6厘米,腿长0.3厘米左右。
相反,体重和BMI则与乳制品消费成反比。在男性和女性参与者中,经常摄入组比非摄入组体重分别轻0.5/0.9kg,BMI分别减少0.4/0.5kg/m2,差异有统计学意义。
该数据结果与此前的研究一致,经常摄入奶制品的参与者在基线有着更高的身高,在随访过程中也会有着更低的身高损失。奶制品是钙的优质来源,在减缓骨质流失方面有着重要作用。
那么,奶制品的摄入与癌症又会有着怎样的关系呢?
在经过平均10.8年的随访后,统计到29,277个年龄介于35-79岁的癌症病例,癌症发病率为5.47/1000人年。在所有参与者中,肺癌的发病率最高,其次是女性乳腺癌、胃癌、结直肠癌和肝癌。

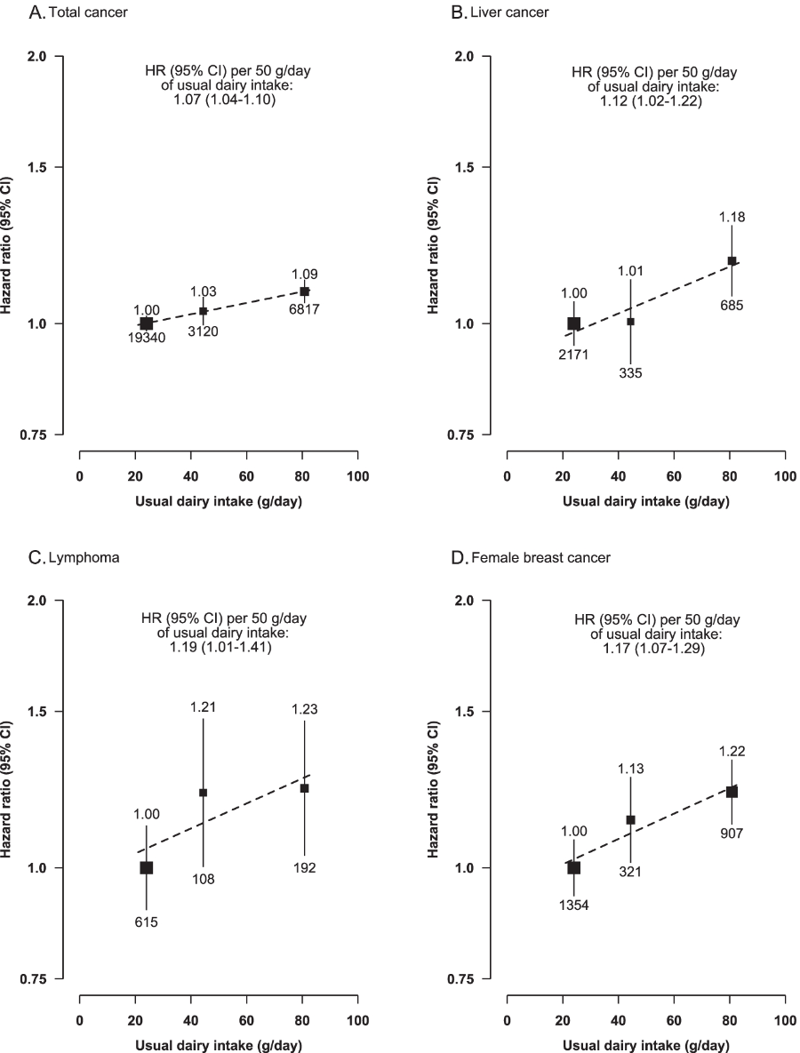
乳制品摄入量与癌症风险的关系分析图
排除混杂因素后的Cox回归分析显示,乳制品摄入量与总癌症、肝癌、女性乳腺癌风险呈显著正相关。经常摄入乳制品的参与者与不摄入组相比,癌症总体发病风险增加9%(HR=1.09,95%CI为1.06-1.12),罹患肝癌风险增加18%(HR=1.18,95%CI1.08-1.29),女性乳腺癌患病风险提高22%(HR=1.22,95%CI为1.12-1.32)。
虽然经常摄入乳制品会导致淋巴瘤患病风险增加23%,但FDR校正数据后关联并不显著,没有统计学意义。
此外,乳制品摄入量每天增加50克,相对应的总癌症、肝癌、淋巴瘤、女性乳腺癌风险分别增加7%、12%、19%和17%。不过,本研究尚未发现乳制品摄入量与结直肠癌、胃癌或其他特定部位癌症发病风险的相关性。
综上,这项针对50万国人的大样本前瞻性研究具有重要的参考价值,提示在乳制品消费相对低于西方人群的中国成年人中,高乳制品的摄入与高癌症、高肝癌、高女性乳腺癌风险相关。
读到这儿,是不是不敢喝牛奶了?事实上,光凭这篇研究并不能下确定性结论,任何研究都存在一定的局限性。
首先,本项研究的基线数据选自2004-2008年,这是中国经济发展最迅速的一段时间,人们的生活方式发生着翻天覆地的变化,这些因素本身可能会对肿瘤的发生产生影响。
其次,这项研究还有很多变量没有考虑全面。如牛奶的类型,到底是常规牛奶、高脂牛奶、脱脂牛奶,还是酸奶?可能会得到不一样的结果。同时,癌症是一种复杂的疾病,乳制品的摄入是否还会对像心血管疾病、糖尿病产生影响,又反作用于癌症?应该进行综合、全面的考量。
这是一项观察性研究,而非随机对照试验,离最终下结论还较早,还需要进一步探究因果关联和潜在机制。正如本研究作者提醒得那样,乳制品所含的蛋白质、维生素及矿物质对健康有着重要作用,仅仅根据目前的研究结果而限制乳制品,并非明智之举。
参考资料
[1]Kakkoura, M.G., Du, H., Guo, Y. et al. Dairy consumption and risks of total and site-specific cancers in Chinese adults: an 11-year prospective study of 0.5 million people. BMC Med 20, 134 (2022). https://doi.org/10.1186/s12916-022-02330-3
四川省医药保化品质量管理协会党支部开
为庆祝中国共产党成立104周年,持..四川省医药保化品质量管理协会党支部召
四川省医药保化品质量管理协会党支..认真落实巡视组反馈意见,进一步规范协
按照四川省市场监督管理局党组巡视..关于相关收费标准的公示
根据四川省医药保化品质量管理协会..关于召开会长办公会的通知
各会长、副会长单位: 根据四川..四川省医药保化品质量管理协会组织召开
2025版《中国药典》将于2025年10月..四川省医药保化品质量管理协会召开第七
四川省医药保化品质量管理协会第七..“两新联万家,党建助振兴”甘孜行活动
为深入贯彻落实省委两新工委、省市..关于收取2025年度会费的通知
各会员单位: 在过去的一年里,..四川省应对新型冠状病毒肺炎疫情应急指
四川省应对新型冠状病毒肺炎疫情应..四川省应对新型冠状病毒肺炎疫情应急指
四川省应对新型冠状病毒肺炎疫情应..